氣體流量計怎么讀數及參數設置
點擊次數:10483 發布時間:2021-03-19 08:09:34
一、普通液晶顯示表頭參數設置操作說明(V01P)
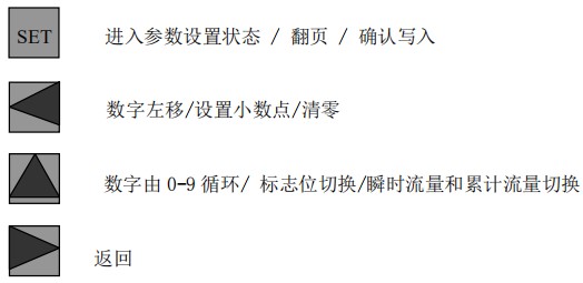
1、面板按鍵說明

2、顯示窗字符說明
液晶顯示標志字符定義見表(一):

3、操作說明:
本版本儀表表頭操作界面采用菜單形式進行參數設置,框圖如下:

3.1 儀表出廠前已將各參數根據用戶訂貨要求設置完畢,用戶無須設置。如用戶需要改變量程,請按下述方法設定。例如,φ 600 插入式流量表,原滿度流量為 50000m3/h,頻率為 694.4Hz。滿度流量現改為 70000m3/h,頻率為 972.2Hz 進入每項流量參數設置頁后,其右端標志字符均進行閃動提示,每項參數設置完畢后,必須按 SET 鍵確認才能寫入存儲。


按 SET 鍵,顯示屏顯示 P,數字位為全零,8 秒鐘若無操作,自動返回工作狀態。

輸入密碼 :按數字↑鍵和左移←鍵,輸入密碼數 xxxxx(出廠時默認密碼為 00000),↑鍵可使各位數字由 0-9 循環變化,每按 ←鍵一次數字向右循環一位,可通過多次按←鍵對整段數字清零,按→鍵可以返回工作狀態。

菜單選擇項:按 SET 鍵確認,顯示屏顯示如右圖所示,末行“00”閃動,調整該項值選擇不同參數設置菜單。

設置小數點:直接按 SET 鍵確認,進入默認流量參數設置菜單,顯示屏顯示 QP,按數字↑ 鍵設置標志位。按數字← 鍵設置小數點,按→鍵可以返回菜單選擇項。

小信號切除:按 SET 鍵確認寫入上步操作結果,顯示屏顯示 F0,按數字鍵↑和移位鍵←,設置小信號切除頻率值,按→鍵可以返回菜單選擇項。

滿度流量參數設置:按 SET 鍵確認寫入上步操作結果,顯示屏顯示 Q,按數字鍵↑和移位鍵←,設入滿度流量值 70000(km3/h), 按→鍵可以返回菜單選擇項。

滿度頻率參數設置:按 SET 鍵確認寫入上步操作結果,顯示屏顯示 F ,按數字鍵↑和移位鍵←,設入滿度流量對應頻率 972.2Hz,按 SET 鍵確認寫入上步操作結果,并返回本菜單*一頁,按→鍵可以返回菜單選擇項。
3.2 密碼設置說明
在菜單選擇項狀態,步驟(四),調整該項值為“01”,然后按 SET 鍵,進入密碼設置項。

密碼設置項:按數字鍵↑和移位鍵←,設置所需密碼,按 SET 鍵確認,“AA”閃動 ,代表屏顯密碼已寫入,按→鍵可以返回菜單選擇項。
3.3 線性修正設置說明
在菜單選擇項狀態,步驟(四),調整該項值為“03”,進入線性修正菜單

線性修正項:若“AA”閃動,代表儀表工作在線性修正狀態,若“P”閃動,代表儀表工作在非修正狀態,須輸入認證碼進入修正參數設置菜單。為了保證數據的安全性,通行碼不對用戶開放。按→鍵可以返回菜單選擇項。
3.4 小流量切除說明
當安裝儀表現場的管道振動過大,無實際流量而有干擾信號輸出,可以采用小流量切除功能將干擾信號切除,切除信號頻率范圍一般要求低于儀表的下限量程,具體設置因情況而定。
二、普通液晶顯示表頭參數設置操作說明(V02P)
1、鍵盤按鍵說明

2、 顯示屏字符說明
工作狀態液晶顯示標志字符定義見表(二):

3、 操作說明
3.1、本版本儀表表頭操作界面采用菜單形式進行參數設置,框圖如下:

3.2、參數設置約定(在進行參數設置前請認真閱讀以下約定):
(1)在設置各項參數時,提示符閃動代表該項參數沒有設置完或者尚未確認,可以通過按 SET 鍵來確認或者按→鍵退出;提示符不閃動代表該項參數已設置完并確認,此時可以通過按 SET 鍵翻頁或者按→鍵退出。
(2)進入參數設置時,需要輸入密碼(6 位可改,默認密碼為 000123)并確認進入,為了防止誤進入參數設置菜單,保證儀表正常工作,在設置密碼時,使用↑鍵調數時不能循環調數,只能單次調數;進入各項參數設置菜單后,對各項參數中的每位可以通過按住↑鍵循環調整數據(0-9 循環)。
(3)對于可以設置小數點的參數選項,要先設置小數點并確認,然后進行參數數據設置并確認。
3.3、儀表參數設置舉例:
儀表出廠前各項參數已設置好,用戶無需設置。如果用戶需要設置某項參數,請參照以下步驟,例如修改補償值 d:

在工作狀態下,按 SET 鍵,顯示屏顯示 P,數字位為全零,8 秒鐘若無操作,自動返回工作狀態。

輸入密碼 :按數字↑鍵和左移←鍵,輸入密碼數 xxxxx(出廠時默認密碼為 000123),↑鍵調各位數字 0-9,每按 ←鍵一次數字向右循環一位,可通過多次按←鍵對整段數字清零,按→鍵可以返回工作狀態。

菜單選擇項:按 SET 鍵確認,顯示屏顯示如右圖所示,末行“00”閃動調整該項值選擇不同參數設置菜單。該例按 鍵使 00 變為 04,然后按 SET 鍵進入 d 設置項

設置定值補償值:d 閃動,*一步:*先進行小數點調整,可以通過←鍵對參數快速清零或者通過↑鍵進行小數點調整,調整完畢,按 SET 鍵確認(d 仍閃動);
*二步:數值調整,可以通過↑鍵對每位數字進行調整,按 ←鍵一次數字向右移動一位,調整完畢,按 SET 鍵確認,d 停止閃動,該項參數設置完畢,可按 SET 鍵進行下一項參數設置或者按→鍵退出。
另外,補償后單位設置 U.X 通過↑鍵調整修改。
3.4、線性修正說明:該項啟動可對儀表系數進行 5 點修正,默認狀態為禁止。為保證儀表的安全運行,該項不對用戶開放,需專用密碼進入。
4、計算公式說明
4.1、測量測量過程計算公式: 若 d----設置值為密度值(單位 Kg/m3)
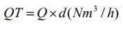
(1)渦街流量儀表工況體積流量計算公式:

(2)密度 d,單位 Kg/m3
(3)質量流量計算公式(若補償后單位為 U.0),則:

(4)質量流量計算公式(若補償后單位為 U.1),則:

4.2、測量測量過程計算公式: 若 d----設置值為氣體補償系數(無量綱)
(1)渦街流量儀表工況體積流量計算公式:

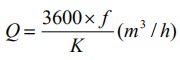
(2)氣體補償系數 d(單位 1),用戶通過運算求得:
P1—工況絕壓,PN—標況絕壓(Mpa),T1—工況熱力學溫度,TN—標況熱力學溫度(K)
氣體壓縮系數,通常默認為 1
P1—工況絕壓,PN—標況絕壓(Mpa),T1—工況熱力學溫度,TN—標況熱力學溫度(K)
氣體壓縮系數,通常默認為 1
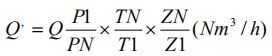
(3)標況流量計算公式(若補償后單位為 U.0):

(4)標況流量計算公式(若補償后單位為 U.1):

注:標況指 20℃,1 標準大氣壓
三、一體化液晶顯示表頭參數設置操作說明(V03Z)
1、鍵盤按鍵說明

2、 顯示窗字符說明


注:表中 x 代表“0”或“1”;Zn:標準狀態下(20℃,1 標準大氣壓),被測氣體的壓縮系數,Z:工作狀態下被測氣體的壓縮系數
3、 操作說明
3.1、本儀表表頭采用自導引式和菜單式相結合的參數設置方式,所謂自導引式參數設置方式就是用戶在進入菜單 00 項后,表頭中的微電腦會自動導引用戶去設置需要設置的參數。另外,用戶也可以通過菜單模式分別對各組參數進行設置。蒸汽測量菜單框圖如下:


3.2、參數設置約定:在設置各項參數時,提示符閃動代表該項參數沒有設置完或者尚未確認,可以通過按SET 鍵來確認或者按→鍵退出;提示符不閃動代表該項參數已設置完并確認,此時可以通過按 SET 鍵翻頁或者按→鍵退出。進入參數設置時,需要輸入密碼(6 位)并確認進入,為了防止誤進入參數設置菜單,保證儀表正常工作,在設置密碼時,使用↑鍵調數時不能循環調數,只能單次調數,只有密碼輸入正確進入各項參數設置菜單后才可以對各位循環連續調整數據。
3.3、儀表參數設置舉例:
儀表出廠前各項參數已設置好,用戶無需設置。如果用戶需要設置某項參數,請參照以下步驟,例如修改刻度流量值 QT:

在工作狀態下,按 SET 鍵,顯示屏顯示 P,數字位為全零,8 秒鐘若無操作,自動返回工作狀態。

輸入密碼 :按數字↑鍵和左移←鍵,輸入密碼數 xxxxx(出廠時默認密碼為 000123),↑鍵調各位數字 0-9,每按 ←鍵一次數字向右循環一位,可通過多次按←鍵對整段數字清零,按→鍵可以返回工作狀態。

菜單選擇項:按 SET 鍵確認,顯示屏顯示如右圖所示,末行“00”閃動調整該項值選擇不同參數設置菜單。該例直接按 SET 鍵進入菜單 00 項

設置刻度流量:QT 閃動,*一步:*先進行小數點調整,可以通過←鍵對參數快速清零或者通過↑鍵進行小數點調整,調整完畢,按 SET 鍵確認(QT 仍閃動);
*二步:數值調整,可以通過↑鍵對每位數字進行調整,按 ←鍵一次數字向右移動一位,調整完畢,按 SET 鍵確認,QT 停止閃動,該項參數設置完畢,可進行下一項參數設置或者退出
另外,單位設置 U.X 和補償方式設置 dX 通過↑鍵調整修改。
3.4、校驗項說明: 儀表出廠前,溫度和壓力通道已校驗設置好,無需用戶重新校驗。校驗通道有密碼保護,廠家不對外開放,如果需要重新校驗溫度或者壓力通道,請專業人員與廠家技術人員聯系。
4、計算公式說明
4.1、蒸汽測量計算公式
(1)渦街流量儀表工況體積流量計算公式:

(2)密度 d,單位 Kg/m3
(3)質量流量計算公式,單位 Kg/h:

(4)質量流量計算公式,單位 t/h:

4.2、氣體測量計算公式----標況指 20℃,1 標準大氣壓
(1)渦街流量儀表工況體積流量計算公式:

(2)對比壓縮系數 d(Zn/Z),單位 1
(3)標況流量計算公式,單位 Nm3/h:
P1—工況絕壓,PN—標況絕壓(Mpa),T1—工況熱力學溫度,TN—標況熱力學溫度(K)
P1—工況絕壓,PN—標況絕壓(Mpa),T1—工況熱力學溫度,TN—標況熱力學溫度(K)
(4)標況流量計算公式,單位 t/h:

四、AMPKP09A01 放大板波段開關調整參照表


五、AMPSW10A01 放大板波段開關調整參照表
RG=1-F 調放大器增益,由 1 至 F 依次增大(常用 4-8);RS=1-F 調觸發靈敏度,由 1 至 F 依次提高(常用 4-8)不同口徑和介質開關選擇參見附表。并根據實際信號先調整 K2 和 K3 擴展頻帶,必要時調整 K1 電荷放大器增益



以上表值僅供參考,實際使用中因液體粘度和氣體密度不同應在此值附近調整,頻率低時可將 K3 向大口徑方向調一至三檔。頻率高時可將 K2 向小口徑方向調一至三檔。
上一篇:氣體流量計怎樣選型
下一篇:瀝青橢圓齒輪流量計


